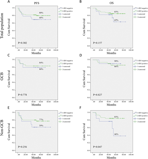
Background: Diffuse large B-cell lymphoma (DLBCL) is the most common subtype of non-Hodgkin lymphoma. The majority of patients can be cured under the treatment of R-CHOP, but one third of patients will relapse and have a worse prognosis. To exploring a biomarker which can predict clinical behavior may aid in the implementation of novel therapeutic strategies. Inhibitor of DNA-binding 3 (ID3) is a helix loop-helix transcription factor, which negatively regulates the cell proliferation. ID3 mutations occur in 34-68% of Bukitt's lymphoma (BL) and are assiociated with lymphomagenesis. A variety of nonsense and frameshift mutations in ID3 as well as missense mutations in the region encoding the HLH domain reduces or eliminates ID3 protein function in BL. ID3 mutation is rare in DLBCL. The prognostic value of ID3 protein level remains unclear in DLBCL. Therefore, we conducted a retrospective study to investigate the impact of ID3 expression in DLBCL patients. Methods: One hundred DLBCL patients treated at Fudan University Shanghai Cancer Center with available diagnostic biopsy material were identified. ID3 expression was determined and quantified by immunohistochemistry (IHC) with staining intensity and percentage of positive cells (IRS). The IRS cut off value for ID3 positive is equal or more than 6. Kaplan-Meier and life table method were used to calculate progression free survival (PFS) and overall survival (OS). Curves were compared with the long-rank test in both groups. Correlation between the ID3 expression and clinical variables were tested by Pearson Chi Square test and a two-sided P value of <0.05 was considered to be statistically significant. Result: Seventy-seven (77%) of patients was overexpressed ID3 and 23% patients was shown ID3 negative. Among these pateints, ID3 positive patients had a trend of better outcome without a significance. The PFS and OS were 65% and 68% in ID3 negative group; 80% and 85% in ID3 positive group, respectively. According to cell of origin, the ID3 deficiency were 24% (10/41) in GCB patients and 22% (13/59) in non-GCB patients (p=0.82). the ID3 overexpression was associated with a better OS compared with ID3 negative patients in non-germinal center B-cell lymphoma group (non-GCB) (85% vs 46%, p=0.047). Although the PFS of ID3 positive patients was better than negative group (77% vs 59%, p=0.256), there was no significance. In GCB patients, there was no differences between the ID3 positive group and negative groups in terms of PFS or OS. The basic characteristics were no difference between ID3 positive and negative groups. Conclusion: This is the first report demonstrating that ID3 overexpression is a positive predictor of clinical outcome in non-GCB lymphoma patients. ID3 is a potential novel target to treat lymphoma and further investigation of ID3 need to be done in the near future. (Research supported by National Natural Science Foundation of China (no.81670177, no.81001048)

Disclosures

No relevant conflicts of interest to declare.

Author notes

*

Asterisk with author names denotes non-ASH members.

Sign in via your Institution